Technology
Давайте объединим линейную и геометрическую алгебры. Часть 2. Матрица Якоби
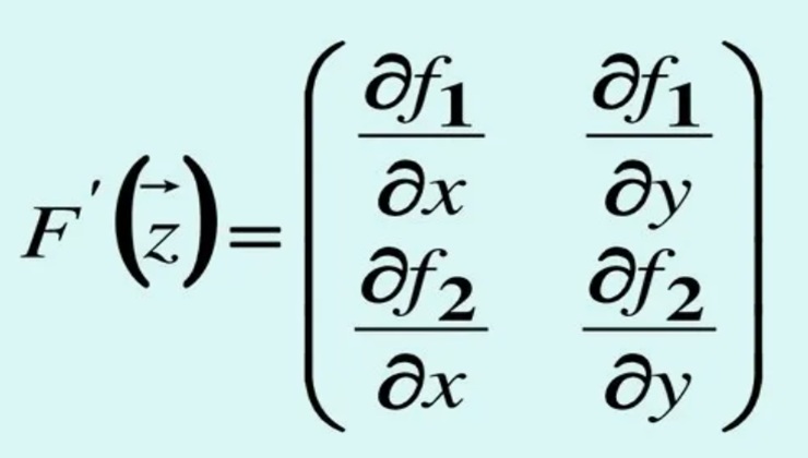
Привет Хабр! В этот раз воздержусь от обработки статьи нейросетями, для приукрашивания оборотов речи, напишу просто про следующую идею: Матрица Якоби определяет векторную функцию в малой области, линейным способом, за счет чего может обрабатываться методами и линейной и геометрической алгебры. Чит
H
Habr
26 апреля 2026 г.·1 мин чтения

Image: Habr
Привет Хабр!
В этот раз воздержусь от обработки статьи нейросетями, для приукрашивания оборотов речи, напишу просто про следующую идею: Матрица Якоби определяет векторную функцию в малой области, линейным способом, за счет чего может обрабатываться методами и линейной и геометрической алгебры.
Читать далееОригинальная статья
Давайте объединим линейную и геометрическую алгебры. Часть 2. Матрица Якоби
Опубликовано Habr